Hertzsprung-Russell diagram
Wanneer je 's nachts omhoog kijkt zie je met een beetje geluk veel verschillende sterren. De ene ster licht meer op dan de andere ster, en de andere lijkt een stuk groter dan zijn buurman. Maar wat zeggen deze verschillen nou precies over de sterren zelf? Om daarachter te komen is het Hertzsprung-Russell diagram bedacht! In dit artikel leggen we je alles uit over het Hertzsprung-Russell diagram.

Wat is het Hertzsprung-Russell diagram?

Het Hertzsprung-Russell diagram is een manier om sterren in ons heelal te classificeren. Zo kan er onderscheid worden gemaakt tussen sterren en kunnen ze worden ingedeeld in groepen. Je zou het kunnen zien als de sterrenversie van het periodiek systeem van de elementen.
Hieronder is het Hertzsprung-Russell diagram te zien:

Elk puntje is een ster. Zoals je kunt zien, zijn de sterren in groepen ingedeeld. Iedere groep heeft ook zijn eigen naam. De sterren worden in dit diagram ingedeeld op basis van een twee eigenschappen: temperatuur (x-as) en lichtsterkte (y-as).
Wil je een makkelijk te begrijpen uitleg zien over wat het Hertzsprung-Russell diagram is en hoe je deze kunt aflezen? Bekijk dan onderstaande video van natuurkundedocent Meneer Wietsma.
Waaruit bestaat het Hertzsprung-Russell diagram?

Het Hertzsprung-Russell diagram bestaat uit sterren die zijn ingedeeld op basis van temperatuur en lichtsterkte.
De assen zijn anders dan normaal. De x-as (temperatuur) is namelijk een logaritmische schaal. Dit betekent dat de getallen op de x-as niet de temperatuur aangeven, maar de logaritme van de temperatuur (log(T)). Ook gaat de temperatuur niet van laag naar hoog, maar van hoog naar laag.
De y-as (lichtsterkte) is ook net iets anders. Daar staat namelijk niet de lichtsterkte, maar de lichtsterkte gedeeld door de lichtsterkte van de zon, Pster / Pzon. Voor de zon is de waarde dus gelijk aan 1. Op de y-as staat de logaritme van deze verhouding: log(Pster / Pzon).
Dat betekent:
- Hoe heter de ster, hoe verder naar links in het diagram.
- Hoe hoger de lichtsterkte van de ster, hoe hoger in het diagram.
Bij een logaritmische schaal is het belangrijk om te onthouden dat het niet lineair omhoog of omlaag gaat. Kijk bijvoorbeeld naar de x-as. De waarde 3 betekent hier log (1000) = 3, de waarde 4 betekent log (10.000) = 4 en de waarde 5 betekent log (100.000) = 5. De echte waarde van de x-as staat tussen haakjes in de logaritmes. De temperatuur gaat hier niet omhoog per 1, maar wordt steeds vertienvoudigd. Ook op de y-as betekent een stijging van 1 dat de lichtsterkte 10 keer zo groot wordt.
Op het Hertzsprung-Russell diagram vallen nog een aantal dingen op. Allereerst zie je dat de sterren niet evenwijdig zijn verdeeld over het diagram. Dat betekent dat bepaalde verhoudingen van temperatuur en lichtsterkte vaker voorkomen dan andere.
Daarnaast valt er nog iets op. Trek bijvoorbeeld een verticale lijn bij x = 3,5, temperatuur log (T) = 3,5. Hier zijn sterren te zien in de hoofdreeks, reuzen en superreuzen categorie die allemaal dezelfde temperatuur hebben, maar heel erg verschillen in lichtsterkte.
Wat voor soorten sterren zijn er?

Op het Hertzsprung-Russell diagram is te zien dat sterren zijn in te delen in 4 categorieën:
- De hoofdreeks
- De (rode) reuzen
- De superreuzen
- De witte dwergen
De meeste sterren bevinden zich bij hun geboorte in de hoofdreeks, waarna ze een rode reus worden. Sommige reuzen veranderen nog in superreuzen. Ten slotte verandert een ster in een witte dwerg.
Wat is de hoofdreeks?
De hoofdreeks is de groep waar ongeveer 90% van de sterren onder valt, waaronder onze eigen zon. Deze hoofdreeks loopt in een baan van linksboven naar rechtsonder op het Hertzsprung-Russell diagram. Sterren in deze categorie hebben allemaal ongeveer dezelfde verhouding van lichtsterkte tot temperatuur. Je zou dit kunnen zien als de groep nog gezonde sterren.
Bij de meeste sterren (ook hoofdreekssterren) vindt kernfusie van waterstof plaats. Sterren bestaan bij hun geboorte bijna alleen maar uit waterstof en helium. Om kernfusie plaats te laten vinden is een enorme druk nodig. Deze druk wordt door sterren gecreëerd via hun eigen zwaartekracht. Zonder kernfusie zouden sterren dan ook bezwijken onder hun eigen enorme zwaartekracht. Echter, de kernfusie drukt de ster als het ware naar buiten, waardoor de ster zo in evenwicht blijft.
Op het Hertzsprung-Russell diagram is te zien dat een aantal sterren in de hoofdreeks een verschillende kleur heeft. De kleur is afhankelijk van hun grootte. Grote sterren hebben meer massa en daardoor een grotere zwaartekracht. Doordat de druk in de kern van deze sterren veel hoger is, wordt hun temperatuur ook hoger. Ze stralen hierdoor fotonen uit met een hogere energie. In het spectrum van licht hebben fotonen met hogere energie een blauwere kleur. Fotonen met lagere energie hebben juist een rodere kleur. Sterren met een wat rodere kleur hebben dan ook een lagere temperatuur, wat betekent dat ze kleiner zijn.
Sterren blijven niet voor eeuwig branden. Op een gegeven moment is de waterstof op. Zodra deze waterstof bijna op is, veranderen de hoofdreekssterren in rode reuzen.
Wat is een rode reus?
Rode reuzen zijn oude sterren waarvan de waterstof bijna op is. Ze zetten dan erg uit en koelen af. Wanneer de waterstof in de kern op is, bestaat deze kern bijna alleen nog maar uit het product van de kernfusie: helium.
Helium is veel zwaarder dan waterstof en fuseert pas onder een veel hogere druk. In de kern vindt dan geen fusie meer plaats, waardoor de zwaartekracht overwint en de kern in elkaar begint te storten. Door het ineenstorten van de heliumkern wordt de druk en de temperatuur hoger.
In de schil om de heliumkern heen is nog wél waterstof te vinden. Door de hoge temperatuur van de heliumkern begint de schil enorm uit te zetten. Hierdoor wordt de ster groter en zal zijn lichtkracht toenemen. Door het uitzetten van de ster wordt zijn oppervlakte zo groot dat de oppervlaktetemperatuur begint te dalen. De ster wordt daardoor ook roder van kleur. Vanwege het groter en roder worden van de ster, worden deze sterren rode reuzen genoemd.
In het Hertzsprung-Russell diagram is duidelijk te zien dat de rode reuzen rechtsboven de hoofdreekssterren staan. Dit komt doordat ze een grotere lichtkracht en een lagere oppervlaktetemperatuur hebben gekregen.
Op een gegeven moment is de kern zo ver in elkaar gestort dat de druk hoog genoeg is voor helium om te fuseren tot koolstof. Binnenin de heliumkern ontstaat hierdoor een kern van koolstof. Zodra het helium in de nieuwe kern bijna op is, begint de nieuwe koolstofkern verder in elkaar te storten. Dit komt doordat er geen fusie meer plaatsvindt.
Er is nu naast de buitenste waterstofschil ook een schil met overgebleven helium. Deze twee schillen beginnen nog verder uit te dijen waardoor de ster nóg groter wordt. De kern van de ster wordt na verloop van tijd ontzettend compact en vormt een witte dwerg. Op dit moment wordt de buitenste laag helium en waterstof uitgestoten, wat omvormt tot een planetaire nevel (uitdijende gasschil).
Wat is een superreus?
Superreuzen zijn buitengewoon grote rode reuzen. Ze ontstaan wanneer de waterstof in hele grote hoofdreekssterren begint op te raken. Vanwege hun hoge massa heeft de levensfase een aantal verschillen ten opzichte van gewone rode reuzen. Allereerst stort bij rode reuzen de heliumkern eerst in elkaar voordat het helium begint te fuseren. Bij superreuzen vindt de fusie van helium daarentegen al meteen plaats. Dat komt door het feit dat superreuzen vanwege hun hoge massa ook een hogere druk in de kern hebben. Hierdoor wordt de lichtsterkte van superreuzen ook niet zoveel vergroot als die van rode reuzen.
In superreuzen stopt het fuseren niet na helium, waardoor veel zwaardere elementen worden gevormd in de kern. Op een gegeven moment is de kern van de superreus zo zwaar dat deze implodeert. Bij deze hele snelle ineenstorting ontstaat een krachtgolf die de buitenste lagen van de ster (die nog bestaan uit waterstof en helium) met een indrukwekkende kracht de ruimte inblazen. Dit wordt ook wel een supernova genoemd. De kern van een superreus verandert dan vaak in een neutronenster. Wanneer de ster groot genoeg is, verandert de superreus zelfs in een zwart gat.
Wat is een witte dwerg?
Witte dwergen zijn het overblijfsel van een ster die geen brandstof meer heeft. Het zijn sterren met een hoge dichtheid waarin geen kernfusie meer plaatsvindt. Doordat er geen kernfusie meer plaatsvindt, is de oude ster in elkaar gezakt. Hierdoor heeft het een hele hoge dichtheid gekregen. Een gevolg hiervan is dat witte dwergen ongeveer de massa van de zon hebben, terwijl ze maar de grootte van de aarde hebben. Door de afwezigheid van kernfusie stralen witte dwergen verder weinig licht uit en zijn ze niet erg helder. Ze hebben door de grote dichtheid wel een heel hoge druk, waardoor ze een zeer hoge temperatuur hebben. Je kunt witte dwergen daarom links onderin het Hertzsprung-Russell diagram vinden.
Hoe bepaal je de temperatuur van een ster?
De temperatuur van een ster wordt gemeten door middel van de wet van Wien. Deze wet ziet er als volgt uit:
Hierbij is:
- λmax de golflengte bij het stralingsmaximum in meter.
- T de temperatuur van de ster in Kelvin.
- Kw de constante van Wien met waarde Kw = 2,987 · 10-3 m K.
In de formule is te zien dat de wet van Wien is gebaseerd op het licht dat sterren uitstralen. Sterren zijn namelijk zo heet dat ze licht uitstralen. Die hitte ontstaat doordat sterren een enorm gewicht hebben. Door dat gewicht is de zwaartekracht er erg hoog.
Dit zorgt ervoor dat alles in het midden van de ster ontzettend hard op elkaar wordt geduwd. De druk die hierbij ontstaat is zo hoog, dat atoomkernen beginnen te fuseren. Het gevolg? Kernfusie. Hierbij komt zoveel energie vrij dat dit in de vorm van licht wordt uitgestraald. Hoe hoger de energie van het licht dat vrijkomt, hoe hoger de frequentie. Licht met een hogere frequentie trilt harder en heeft dan ook een kortere golflengte.
Op de afbeelding hierboven zie je de golflengte van het uitgestraalde licht op de x-as. Op de y-as is de intensiteit van het uitgezonden licht te zien. Het resultaat op deze Planck-kromme is een duidelijke piek.
De piek is de golflengte die door een ster het meest wordt uitgezonden. Dit kun je in de wet van Wien zien aan de variabele λmax. Wat je ook op de afbeelding van de Planck-kromme kunt zien is dat λmax verschillend is voor verschillende temperaturen.
De wet van Wien kan ook worden omgedraaid om de temperatuur te berekenen:
Hier is te zien dat hoe lager λmax is, hoe hoger de temperatuur van de ster. Dit is ook in de Plank-kromme te zien.
Voorbeeld:
Om λmax te berekenen voor een ster die 5.000K is, wordt de volgende formule toegepast:
Met speciale apparatuur kan van elke ster worden gemeten hoeveel licht wij op aarde ontvangen. Dit kan worden gemeten voor alle verschillende golflengten. Door per golflengte te kijken naar de hoeveelheid opgenomen licht, kan voor die ster een specifieke Planck-kromme worden gemaakt. Hier kan vervolgens λmax van worden afgelezen. Zo kan de temperatuur van die ster worden berekend.
Hoe bepaal je de lichtsterkte van een ster?
De lichtsterkte van een ster wordt bepaald aan de hand van de kwadratenwet:
Hierbij is:
- Pbron de lichtsterkte van de ster in watt.
- r de afstand van de aarde tot de ster in meter.
- I de intensiteit in Watt per vierkante meter.
Om de lichtsterkte van de ster te bepalen zijn twee dingen nodig:
- De afstand tot de ster.
- De gemeten intensiteit.
De afstand tot de ster wordt bepaald door twee keer in het jaar naar de betreffende ster te kijken. De positie van de aarde ten opzichte van deze ster verandert in deze tijd uiteraard. Door op beide momenten de hoek tussen de ster, de aarde en de zon te meten kun je met wat hoekenberekeningen de afstand tussen de aarde en de ster bepalen. Met stralingsmeters op aarde kan vervolgens worden gemeten hoeveel licht door de ster wordt opgevangen op een bepaald oppervlak, waarmee de intensiteit te berekenen is.
Hoe kunnen sterren bij dezelfde temperatuur een verschil in lichtsterkte hebben?
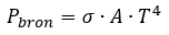
Het verschil in lichtsterkte bij dezelfde temperatuur kan worden verklaard door een verschil in de oppervlakte van de ster. De verhouding tussen temperatuur en lichtsterkte is beschreven in de wet van Stefan-Boltzmann:
Hierbij is:
- Pbron de lichtsterkte van de zon in Watt.
- σ de constante van Boltzmann (σ = 5,670373 · 10-8Wm-2K-4).
- A de oppervlakte van de ster in meter.
- T de temperatuur van de ster in Kelvin.
Aan deze formule is te zien dat een verschil in lichtsterkte niet alleen kan ontstaan door een verschil in temperatuur, maar ook door een verschil in steroppervlakte. In principe geldt: hoe groter de oppervlakte van de ster, hoe hoger de lichtsterkte.
Voorbeeld:
Stel, je zou de lichtsterkte willen weten van de ster Enif. De ster Enif is de meest heldere ster van het sterrenbeeld Pegasus. De oppervlaktetemperatuur van Enif is 4460K en zijn diameter is 2,087 · 1011m. Om de lichtsterkte te meten zal eerst de oppervlakte berekend moeten worden. De oppervlakte bereken je als volgt:
Hiermee kan ook de lichtsterkte worden berekend:
De verticale verdeling van sterren met dezelfde temperatuur kan nu worden verklaard door verschillen in de oppervlakte. Er geldt immers: hoe hoger de lichtsterke is ten opzichte van de temperatuur, hoe groter de oppervlakte moet zijn. Daarom worden de sterren bovenaan in het Hertzsprung-Russell diagram reuzen en superreuzen genoemd.
Video
Wil je alles over het Hertzsprung-Russell diagram nog even terugkijken? Bekijk dan deze video:
 























